Stationary Light Cosmology

Hypothesis

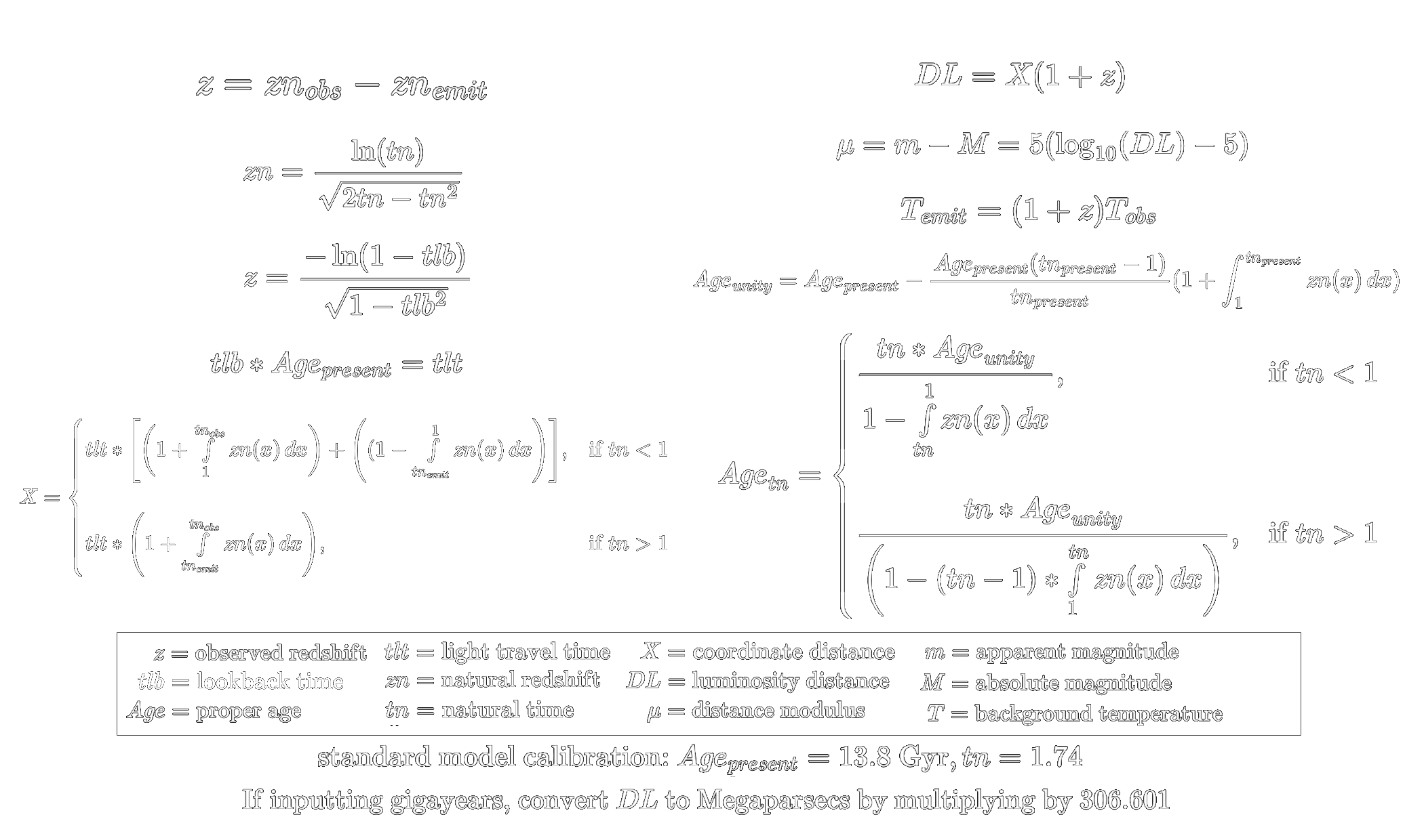
The Stationary Light hypothesis is a radical reimagining of spatial expansion. The core postulate is this: what we perceive as light travel is actually the expansion of the universe. In every moment, we are encountering the past as it radiates away from our neighbors in an expanding spacetime. Light doesn’t move— space expands. It follows that the flow of time is also tied directly to the expansion of space. The cosmological redshift is a second order effect, wherein clock-time is dilated proportionally to the elapsed age of the universe. We can derive the redshift-distance relation without any reference to matter density, dark energy, or the Friedmann equations, simply through the Stationary Light equations inputted with our present cosmic age. General Relativity is thus relegated to a local solution, describing density-based deviations from this global clock-time.

Redshift, adjusted apparent magnitude and model predictions of Pantheon+ type Ia supernovas

Residuals of inferred absolute magnitudes of supernova luminosities, standard deviation of 1.93 SL versus 1.91 LambdaCDM